Risorse multimediali
Immagini
Depositi ghiaiosi aridi nell'alveo del Metauro presso la confluenza col Tarugo, 1984
Foto di:
Poggiani Luciano
Depositi di versante parzialmente cementati derivanti da processi crioclastici a carico dei calcari marnosi della Scaglia Rossa e attribuibili alle fasi fredde del Pleistocene superiore, Gola del Bosso poco prima di Pian di Polea (2,3 km a monte della loc. Eremita), luglio 2012
Foto di:
Poggiani Luciano
Deraeocoris ruber, F. Metauro a Fossombrone, ottobre 2006 (Collezione L. Gubellini)
Foto di:
Gubellini Leonardo
Derilambrus angulifrons di 24 x 25 mm (esempl. conservato), Adriatico al largo di Fano, 1970
Foto di:
Poggiani Luciano
Derilambrus angulifrons in atteggiamento di difesa, Muggia (TS), Alto Adriatico, maggio 2012
Foto di:
Pillon Roberto
Derilambrus angulifrons maschio di 23x23 mm (esempl. conservato), con deboli denti sul margine del rostro, Adriatico al largo della Provincia di Pesaro e Urbino, 1970
Foto di:
Poggiani Luciano
Dermocistidi cilindriformi, settate di Russula versicolor, Serre ad Acquapartita, ottobre 2012
Foto di:
Polidori Luciano
Dermoloma cuneifolium, Monte Grino nel Gruppo del M. Nerone, bosco di conifere, ottobre 2012
Foto di:
Polidori Luciano
Deronectes delarouzei di 4,6 mm, Francia (foto Patrick Deyroze, da: https://www.galerie-insecte.org, CC BY-NC)
Deronectes moestus (foto P. Prévost – Magellanes 2021, da: INPN, https://inpn.mnhn.fr/espece, CC BY-NC-SA)
Determinazione del Prefetto del 17 Gennaio 1888
A.S.C., 1888, titolo XVI, rubrica 5, articolo 3
Autorizzazione Archivio di Stato di Pesaro n. 154 del 23/2/2006
Determinazione del Prefetto del 17 Gennaio 1904
S.A.S.Fa., A.S.C., 1904, ctg. XV, cl. 3, fasc. 5
Autorizzazione Archivio di Stato di Pesaro n. 154 del 23/2/2006
Determinazione del Regio Commissario Provinciale
S.A.S.Fa., A.S.C., Bandi, Editti e Notificazioni, 1861
Detriti di falda nella cava di Gorgo a Cerbara, giugno 2012. Si tratta di detriti stratificati parzialmente cementati prodotti da intensa gelifrazione durante le fasi più fredde del Pleistocene superiore
Foto di:
Poggiani Luciano
Di recente i parapetti sono stati restaurati; i binari sono costantemente ripuliti dalla vegetazione spontanea. Aprile 2015
Foto di:
Tosi Enrico
Di recente la chiesa e la canonica di San Maurizio sono state oggetto di un attento restauro. Il tetto più alto segnala i resti del campanile
Foto di:
Pierucci Emilio
Di fronte e verso sinistra, in destra idrografica del F. Metauro, i terrazzi vallivi della zona di Carpineto a Fossombrone. La piana alluvionale sulla quale scorre il fiume è quella di Pian Cerreto; sulla destra le pendici dei Monti della Cesana, sullo sfondo il M. Pietralata (Monti del Furlo)
Foto di:
Savelli Daniele
Diagramma pluviotermico di Bargni (m 273 s.l.m.). In ascissa i mesi dell'anno e in ordinata i valori medi mensili della piovosità (linea continua) espressi in mm e il doppio rispetto ai valori medi mensili della temperatura (linea tratteggiata)
Diagramma pluviotermico di Pergola (m 306 s.l.m.). In ascissa i mesi dell'anno e in ordinata i valori medi mensili della piovosità (linea continua) espressi in mm e il doppio rispetto ai valori medi mensili della temperatura (linea tratteggiata)
Diagramma pluviotermico di Urbino (m 451 s.l.m.). In ascissa i mesi dell'anno e in ordinata i valori medi mensili della piovosità (linea continua) espressi in mm e il doppio rispetto ai valori medi mensili della temperatura (linea tratteggiata)
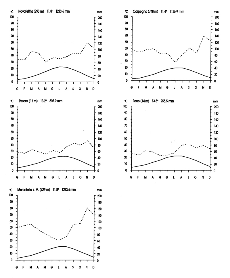
Diagrammi pluviotermici di alcune località della Provincia di Pesaro e Urbino.
In ascissa i mesi dell'anno, nell'ordinata di sinistra la temperatura media mensile (linea continua) ed in quella di destra le precipitazioni mensili (linea tratteggiata). La scala delle precipitazioni è doppia rispetto a quella delle temperature (da URBINATI, 2000)
Diagrammi pluviotermici di alcune località della Provincia di Pesaro e Urbino.
In ascissa i mesi dell'anno, nell'ordinata di sinistra la temperatura media mensile (linea continua) ed in quella di destra le precipitazioni mensili (linea tratteggiata). La scala delle precipitazioni è doppia rispetto a quella delle temperature (da URBINATI, 2000)